
Red fescue
red.fescue.RdData from a dose-response experiment with red fescue (Festuca rubra). Biomass was measured at different dose levels and at two time points (day 0 and day 16).
Usage
data(red.fescue)Format
A data frame with 26 observations on the following 3 variables.
dosea numeric vector
daya numeric vector
biomassa numeric vector
Examples
library(drc)
## Displaying the data
head(red.fescue)
#> dose day biomass
#> 1 0 0 45.0
#> 2 0 0 69.0
#> 3 0 16 137.0
#> 4 0 16 102.0
#> 5 0 16 101.4
#> 6 87 16 139.7
## Fitting a four-parameter log-logistic model with separate curves per day
red.fescue.m1 <- drm(biomass ~ dose, day, data = red.fescue, fct = LL.4())
#> Control measurements detected for level: 0
summary(red.fescue.m1)
#>
#> Model fitted: Log-logistic (ED50 as parameter) (4 parms)
#>
#> Parameter estimates:
#>
#> Estimate Std. Error t-value p-value
#> b:(Intercept) 2.2098 1.0445 2.1156 0.04594 *
#> c:(Intercept) 26.2056 12.0292 2.1785 0.04037 *
#> d:(Intercept) 109.0601 8.6786 12.5666 1.631e-11 ***
#> e:(Intercept) 456.5766 185.6060 2.4599 0.02222 *
#> ---
#> Signif. codes: 0 '***' 0.001 '**' 0.01 '*' 0.05 '.' 0.1 ' ' 1
#>
#> Residual standard error:
#>
#> 25.21797 (22 degrees of freedom)
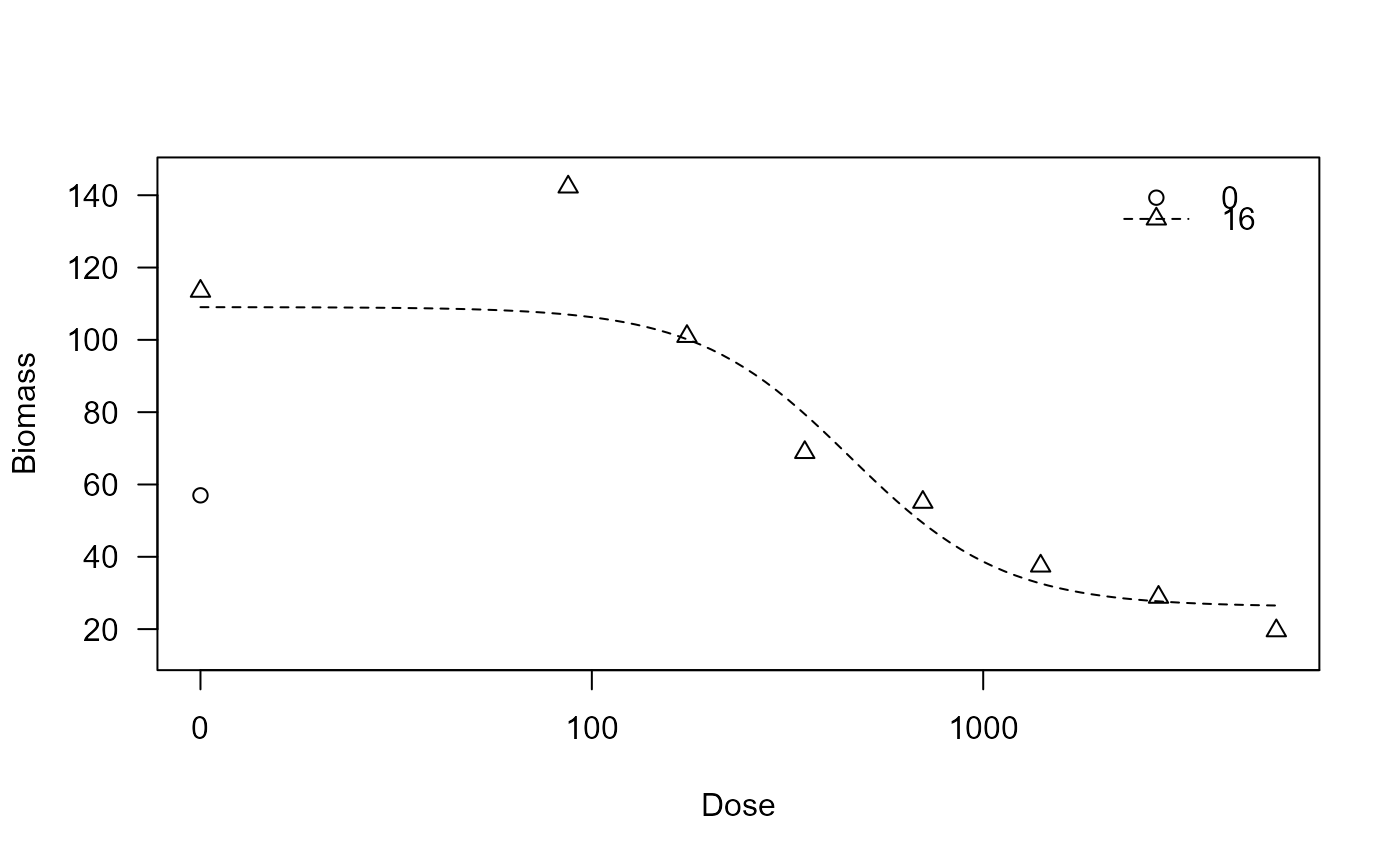
## Plotting the fitted curves
plot(red.fescue.m1, xlab = "Dose", ylab = "Biomass")